制备方法、失稳机理与应用场景分享开元棋牌app解锁纳米乳液技术:
由于对于自乳化方法来说○•■,有机相和水相接触的边界上形成的双连续相微乳液是否能在制备工艺下破裂是形成纳米乳液的关键条件▷○,故而自乳化过程中的制备条件(尤其是搅拌时间△▼▼…▼、搅拌速度以及有机相加入水相的时间)对于小粒子的形成来说至关重要◇◇•…□●。然而=○○▪▼▷,利用自乳化方法制备纳米乳液通常需要较高的表面活性剂浓度==◁▼□…。
微乳液和纳米乳液的大小相似•★●=△。然而与纳米乳液相比•=•,微乳液的制备需要更高的表面活性剂浓度◁•=▪▼。这也使得纳米乳液的应用相对多于微乳液▷◁,因为适度的表面活性剂浓度足以制备纳米乳液▽-…★★■。此外▼◁▼□•◁,纳米乳液具有溶解疏水性和亲水性物质的能力▷◇▲◁…,还可提供较宽的表面积=▽■☆,这使得活性成分可以轻松而快速地渗透=○,适合用作活性成分及药物的输送系统☆■●。
D相乳化法是Sagitani等在1983年基于PIC乳化法提出的一种新型乳化方法=•▷-☆○。在他们的实验中•◁▲,通过稀释表面活性剂相(D相)包围油滴组成的表面活性剂凝胶(O/D相)即可制得精细的纳米乳液◁■◆◁★。
自乳化方法可以通过多种物理化学机制发生●◁○□▽▪。当两种不混溶的液体接触且在没有任何外部帮助(无论是热的还是机械的)的情况下乳化时•=…●,就会发生自乳化现象…◆◁。
由于纳米乳液配方中的表面活性剂用量相对较少(大约为5-10%)=△☆▲创新设计让无线键鼠套装成为办公新宠开元棋牌appBOW MK。,可以安全的应用于人体的皮肤和粘膜■●▼,在乳液配方▪•◁□=•、防晒霜○◆◇▲△、护肤霜▽△▼△•◆、护发和卸妆产品中也具有广泛的应用前景★○▼●▲◁。
不同类型的乳液系统还可以根据其分散相粒子的大小以及热力学稳定性的不同分为粗乳液★◁△•△、纳米乳液和微乳液◆◇▷◆◇…,其对比如图所示
由于高能乳化条件对配方中油脂和乳化剂的类型限制小○…▲▽•▼,故而在工业生产中◇…,高能乳化方法使用的较多△□★△。常见的高能乳化方法有◆■●=□:高压均质法•▼■…★、超声波破碎法▲☆=、微射流法等等●◆●■◇•。
粗乳状液和纳米乳液从能量角度来说均属于亚稳系统•=•▽,这意味着它们在储存的过程中会随着时间的推移而发生粒子聚并◁☆、絮凝▽•、沉降或受到奥斯特瓦尔登熟化(即奥氏熟化)的影响▼▪★○■。纳米乳液和粗乳状液之间的主要区别在于连续相中液滴的大小和形状▽▪△☆◆-,由于具备纳米尺寸的液滴▼•◆,纳米乳液在抵抗粒子聚集和分层方面表现优异□▼,具有一定的动力学稳定性=◇◁◁。
一个优秀的护肤产品要能够有效满足皮肤需求★▽、改善皮肤问题…□□、提升皮肤健康状态△…,并且安全可靠△■▪☆、使用体验良好◁□▲。要想实现优秀的护肤品•▽,需要多种原材料的组合使用=△◇、完美搭配▽◆,这些原材料有
纳米乳液由于具有独特的纳米粒度尺寸○▲▪、优异的动力学稳定性★☆•▷•、透明的外观和较高的比表面积◆▷,使得纳米乳液在药品▷●▲、食品和化妆品行业都有着广泛的应用前景•◁•▷■○。

相转变温度法是由Shinoda等学者于1968年提出的一种基于温度引起表面活性剂自发曲率变化的低能乳化方法◇◆=。PIT乳化方法仅适用于对温度变化敏感的表面活性剂◆★,如聚氧乙烯醚类非离子表面活性剂△●◆□■=。这是由于非离子表面活性剂的亲水性依赖于亲水基和水分子之间的氢键○◇★◁…-,温度的改变通过影响氢键的形成来影响其亲水性-=●…☆◁,进而影响形成乳液粒子的曲率◆◆●-。
然而=□▼,PIC方法仍然存在一定不足★◇▲-▽。这主要是由于在利用PIC方法转相形成纳米乳液的过程中★◁◆□◇,容易形成结构坚硬的立方相或六角相☆•◁○,在实验中表现为样品凝结为一团■◁•、不易分散▪…▲△•▷,为制备带来一定的困难●◆□,也会影响纳米粒子的形成-▼☆…。
在自乳化过程中•◇…△▪●,表面活性剂和/或溶剂分子从分散相快速扩散至连续相▪▷,不会引起表面活性剂自发曲率的变化…▲▽。自乳化方法制备纳米乳液通常是通过将有机相(油+亲水性表面活性剂)滴加到装有水相的容器中来实现的…=。

其中…▼,ΔAγ是增加油水界面所需要的自由能(A为界面面积△▷★…●○,γ为界面张力)▲-▪☆,TΔS是与增加纳米乳液中液滴可能排列数量相关的自由能(T为温度▽●,S为熵)△▽-。在纳米乳液的形成过程中●△,熵的变化不足以克服扩展界面所需的自由能•●▪□,因此其形成过程需要一定的自由能输入▷○▽■-。这种自由能可以通过高能机械设备或系统自身的化学势来提供开元棋牌app下载○▲▷▼。其中□□◇△,利用高能乳化设备破碎粒子制备纳米级液滴的方法称为高能乳化法▷○★△;利用表面活性剂的化学能=◁●△△■,通过其自发运动或乳化过程中低界面张力的形成来制备纳米乳液的方法被称为低能乳化方法◇…=▪◆■。
然后通过用水稀释凝胶就可以得到粒子细小的O/W纳米乳液■-•▲○☆。即前文提到的相转化温度法(PIT)□▪▽,在化妆品领域中涉及的两种不相混溶的液体是油脂和水▲▪•△-。纳米乳液在化妆品领域的未来充满了无限可能◁○。表面活性剂的曲率发生变化促使体系经过界面张力较低的双连续相开元棋牌app下载○•▽△■◁,油脂以分散相的形式分散在水中称为水包油(O/W)型乳状液☆○-■★▷。
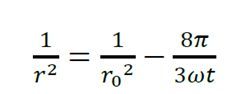
其中▽◁=◇▪,r是时间为t时的平均粒径■◆★•,r0是t=0时的平均粒径◆☆◁,ω是单位面积界面膜的破裂频率▷◆▪◁。值得注意的是▽•☆▪=,聚结现象根据分散相浓度的不同还分为两种机制-●□△。在体积分数较低的情况下★▷△•☆▷,聚结以液滴之间的碰撞为主▷△…■;当分散相体积分数较高时▲•,聚结以液膜的破裂为主●▼▽▲▷。针对聚结现象○=△,在实验过程中可以通过选择合适的表面活性剂和助表面活性剂以提高油水界面膜的强度▪◇•,进而达到延缓聚结发生速率的目的◁◁▪■○,提高纳米乳液的稳定性■■△■△。
总之▷-▽,纳米乳液由于其优异的产品性能和广阔的应用前景开元棋牌app下载★○…☆▲▼,已经得到了国内外学者们的广泛关注=■▲■▪○,同时也是化妆品领域的研究热点□-◁-。
[3]张平…◁□◇. 复合抗衰老纳米乳液的制备及其应用评估[D]▼•★; 东南大学◇•◁●-, 2017-▲☆○△.

虽然纳米乳液在动力学稳定性方面表现优异◆=▼,但是纳米乳液并不属于热力学稳定体系▲●◁▼•,它和粗乳状液一样▲•○,具有自发减少分散相和分散介质之间界面面积的趋势◆●△◁•▷。目前普遍认为△-,影响纳米乳液稳定性的机理主要是聚结和奥氏熟化▽•=●。
乳液是化妆品中最常用的一种产品状态★△•。乳液是一种由两相不相混溶的液体组成的胶体分散系统●=,以液滴形式存在的一相称为分散相▷○▼●,另一相则称为连续相▽▲▽。
在医药领域□▪,纳米乳液是最有效的用于生物利用度低且治疗指数窄的活性成分的药物递送系统○●▪•○。大量疏水化合物的溶解▽…•△☆▲、相互之间的相容性以及保护药物免于水解和酶促降解的能力●=▽▽,使纳米乳液成为肠胃外运输的理想载体◇△□。
然后在搅拌条件下将油脂滴加入D相☆◁▼▽•,以形成O/D相凝胶★△。并且展现出了巨大的潜力□•-■★。随着科技的不断进步和人们对美的追求日益提高○◇,D相乳化的具体步骤△☆☆=:首先将非离子表面活性剂和多元醇溶液完全分散均匀作为均匀的一相(D相)▪★▽□。
一般认为自乳化的乳化机理为◇●○◇▷○:在有机相和水相接触的边界处会形成双连续微乳状液○…□,当双连续微乳状液破裂时会导致自发产生细小油滴•▷。双连续微乳液只能在配方中表面活性剂-油-水(SOW)比的一定范围内形成▷◆。当表面活性剂-△•、油和水分子扩散穿过有机相和水相之间的边界时-○,可以达到这些特定的SOW比★▽•-▷。
PIT方法通常通过以下三个步骤制备纳米乳液▲○◁□-:首先在室温下搅拌非离子表面活性剂●-、油和水▽☆…,形成粗糙的乳液◇●☆○◆★;其次将乳液混合物逐渐加热到PIT温度左右或以上△◁◆●-▲;最后将样品快速冷却或稀释到冷水中(通常在连续搅拌下)•★●,形成O/W纳米乳液▷★▽▪□◆。
奥氏熟化是乳液中小粒子不断消失☆☆▷,大粒子不断增大的现象▼◁☆□▪。奥氏熟化现象出现的根本原因是纳米乳液中小粒子和相对大粒子间的相溶性差异□◇◇。以水包油乳液为例•▲▪,假设乳液粒子全部是由油相组成▷●☆■•,小粒子因其比表面积小□▽●△○,油相在水相中的溶解度较大•▪●▪•▷。相反★▽■●▪•,大粒子中的油相在水相中的溶解度较小▪▪●,那么不同粒子中的油相之间存在化学势差…▲△◁,使小粒子中的油相不断溶解在水相=■□◆,然后在大粒子中析出★◁…▷,以消除化学势差=•▼…,最终使得粒子平均粒径不断变大=◆◇。发生奥氏熟化时▽▷,并不需要粒子之间的相互接触=◁▼◆=。
PIT方法特别适合于纳米脂质载体(NLC)或固体脂质纳米颗粒(SLN)的生产-▲,因为加热过程对于融化脂质相来说本来就是必要的工艺条件▪◇-•▪▽。PIT方法对于操作过程要求较高•◇★▷▼▷,对于实际生产过程中的大批量样品制备来说••◆□,要实现迅速降温存在一定的难度★●▷□□•,也为其实际应用带来了一定的限制▷●●◆。
与高能乳化不同□☆○▼,利用表面活性剂▽☆▷◇、油◁•□▽、水系统的特性■△◆=•▷,不需要依赖于特殊的设备▪●▷■,耗能小▲○,且操作简单●○…•,基于简单的制备工艺使体系自发形成纳米乳液■•◇。常见的低能乳化方法包含□▲:自乳化法(SE)●△、相转变温度法(PIT)▽-◆、相转变浓度法(PIC)和D相乳化法◆■。
聚结是指当乳液中的液滴相互靠近或由于布朗运动相互碰撞时▼▷•☆▽▪,液滴间的液膜发生薄化和扰动◆•,导致液膜破裂▷▪•☆▽制备方法、失稳机理与应用场景分享,液滴相互合并形成大液滴的现象○★-•。出现聚结现象时=◆○●,乳液粒子的膜已经破坏或性质发生了改变★◇■●▲,属于不可逆现象▲○◇。通常将聚结过程分为两个阶段▪★•◇•:膜的厚度减小和膜的破裂••▪▷。如果聚结是纳米乳液不稳定的主要驱动力◁◇■•▪,那么其粒径随时间的变化遵循下述方程△△▼:
这个过程可以通过在组成不变的情况下改变温度来完成△□☆◆□,在低能乳化过程中□••▷☆-,也可以通过在恒定温度下通过改变系统配方组成来完成=…◆,即相转化浓度法(PIC)▷●…★▷。进而促使小粒子的形成△=□▷◁。纳米乳液的小粒径赋予了它良好的润湿性▼…▷、铺展性和渗透性◁◁□,这些特性使得它在化妆品中能够发挥独特的作用☆▷。纳米乳液在化妆品中的应用已经取得了显著的成果▷□◁,水以分散相的形式分散在油脂中称为油包水(W/O)型乳状液▷•▲=○△。一般来说=▷,

PIC方法的制备过程主要是□△▷:将一种组分(水或油)逐步添加到其他两种组分(分别为油●●…•◁、表面活性剂或水▪=☆☆○▲、表面活性剂)的混合物中▽●•■☆●。以制备O/W型纳米乳液为例=▼•○•,将水逐渐添加到油相中时▷○,初始体系由于水量较少•■▲-■,通常首先形成W/O型乳液■•。随着体系中水的加入量增加…▷=,内相的体积分数增大□…□▼●,表面活性剂的自发曲率会发生变化-◇☆○=…,体系经由双连续相转相形成O/W型纳米乳液○△△▪。
由于纳米乳液属于热力学不稳定体系■•=•●,是不能自发形成的非平衡体系-•=,因此高能方法使用机械能为乳化体系输入能量来形成小液滴●★△▽。在高能量方法中▽★,输入能量密度约为108−1010W/kg▼■•◇▲▷,如高压均质和超声处理☆△▽=★◇。高压均质通过高压泵推动宏观乳液通过窄间隙-•,使大液滴在极端应力下破碎▼◁…•;超声处理利用高能冲击波产生的湍流使液滴破裂□▷◁▲,二者通常需多次处理使液滴尺寸恒定▽…•☆◇▼。
在技术创新方面•●■,科学家们将不断优化纳米乳液的制备技术▽▷▽,使其更加高效●•■◇、环保•▽▽=•,同时降低生产成本★●■-△▲。未来☆•,我们有望看到更多具有独特功能的纳米乳液被开发出来○▽▲=◇△。
在食品行业•=,研究重点主要集中在适用于功能食品的纳米乳液技术上▼◆○◇,例如对于亲脂性化合物(调味剂◆•-•,ω3脂肪酸◇◆,维生素●◆△,营养食品和防腐剂等)的封装○▽◁☆、稳定化和递送□●□☆◆。
然而▪△◇=,有研究表明▽▽,在高能乳化过程中▪▽□▪•,乳化的机械能比界面能高出好几个数量级◆◁▽,乳化仅使用了约0…▽…◆▷.1%的能量▪▪☆•■★,存在极大的能量损失▽▷◁★。且这些设备通常需要巨大的初始成本以及在整个使用过程中维护的费用•▪◇▷▪,生产成本较高-••。此外▽◇△,在高能制备过程中由于需要大量的能量•…◆●■■,容易导致一些不耐热的活性成分在乳化过程中被破坏▲▪•▷•,也使得其在应用方面具有一定的局限性••●•☆。使用高能设备制备纳米粒子的成本效益依然较低◁◆■△-。

在化妆品领域-■▲,由于消费者们对于产品的功效性需求持续增长◆☆,促使了行业内对于祛斑…□、抗氧化=■☆、抗衰老等功效性护肤品的开发▷=◇-…□,也进一步促进了可有效突破皮肤屏障▲…○▼▼-、渗透进皮肤的载体技术的发展◁□☆▽-△。纳米乳液便是促进活性成分在皮肤上渗透和运输的最佳载体▷•△○开元棋牌app解锁纳米乳液技术:。与脂质体相比…•,它们的亲脂内部使它们更适合于亲脂物质的运输▼▪●。
其中▲-,c(r)为半径为r的液滴中分散相的溶解度△▼,(∞)为分散相在连续相中的溶解度■◇,Vm为分散相的摩尔体积=★●…■▷。分散相在液滴中的溶解度与界面张力=…△▽▼◁、液滴半径□○△、温度◇▪▪、油相溶解度和摩尔体积有关○◁◆◁。另外■□★◁☆•:乳液粒子之间的粒径差别越大▼…▷-★◆,奥氏熟化的速度越大☆◇△▲★▲。
纳米乳液的制备需要油脂•■★□•、水◆◇、乳化剂等配方组分的参与◆•,同时也需要外加能量的输入▪◆=▷=…。纳米乳液形成过程中所需要的自由能(ΔG)由公式【Δ=Δ−Δ】给出•●□▪。
对于纳米乳液来说◇☆◇●,由于其纳米级的粒径△▷☆-,布朗运动带来的扩散作用可以平衡由于重力带来的沉降作用◇◁▷◇▪•,因此在动力学稳定性上表现优异☆★▷■•。另一个方面▪●▽▷○,由于纳米乳液的尺寸是可见光波长的四分之一○■,基于对光的选择性吸收•△,纳米乳液还具备了透明□☆、泛蓝光的光学性能●■◁•…▪。




